서울대 박상민 교수 연구팀, “과도한 HDL 콜레스테롤 증가는 경계해야”
[한국대학신문 이정환 기자] HDL 콜레스테롤이 이미 높은 사람은 HDL 콜레스테롤의 증가를 경계해야 한다는 연구 결과가 나왔다.
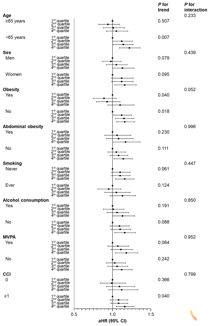
서울대학교 의과대학 의과학과 박상민 교수 연구팀(김혜준 연구원, 차의과학대학교 정석송 교수)은 2009-2012년 2년 주기 건강검진을 2회 이상 받은 7만7134명을 관찰한 연구결과를 지난달 28일 발표했다. 이미 HDL 콜레스테롤이 60 mg/dL 이상인 성인 남녀에서 HDL 콜레스테롤의 추가적인 증가에 따른 심혈관질환 발생 위험을 분석했다.
HDL 콜레스테롤의 결핍은 고혈압, 당뇨, 고지혈증은 물론 심혈관질환 발생 위험까지 높일 수 있다는 것이 기존에 널리 알려진 HDL 콜레스테롤의 영향이었다. 그러나, 본 연구에 따르면 이미 HDL 콜레스테롤이 높은 사람은 심혈관질환 발생 위험을 오히려 증가시킬 수 있다는 결과가 나왔다.
연구에 따르면 HDL 콜레스테롤의 증가가 가장 적은 4분위 그룹(2 mg/dL 이상 감소)에 비해 가장 높은 4분위 그룹(15 mg/dL 이상 증가)에서 심혈관질환 발생 위험이 15% 더 높은 것으로 밝혀졌다. 특히, 뇌졸중의 발생 위험이 26% 더 높았다.
이러한 HDL 콜레스테롤의 증가에 따른 심혈관질환 발생 위험의 증가는 65세 미만, 여성, 정상체중, 비흡연자, 비음주자 및 중고강도 운동을 하는 군에서 더욱 두드러졌다.
연구팀은 “HDL 콜레스테롤의 증가는 LDL 콜레스테롤의 증가를 동반하여 심혈관질환 발생 위험을 증가시킬 수도 있겠다는 가설이 있었으나 LDL 콜레스테롤이 감소하고 HDL 콜레스테롤이 증가한 그룹에서도 관상동맥질환의 발생 위험이 유의미하게 증가한 것으로 보아 이미 높은 수준의 HDL 콜레스테롤의 추가적인 증가에 따른 심혈관질환 발생 위험 증가가 유력해 보인다”라고 강조했다.
이번 연구는 심혈관질환 관련 권위 있는 국제학술지 〈Cardiovascular Diabetology〉 최신호에 게재됐다.












































































